Kia Optima DL3: Steering System / Motor Driven Power Steering

Description and operation

Description

The Motor Driven Power Steering (MDPS) system uses an electric motor to assist the steering force and it is an engine operation independent steering system.

The MDPS control module controls the motor operation according to information received from the each sensor and CAN (Controller Area Network), resulting in a more precise and timely control of steering assist than conventional engine-driven hydraulic systems. Components (Steering Angle Sensor, Torque Sensor, Fail-safe relay, etc.) of the MDPS system are located inside the steering column. MDPS unit assembly, steering column, and MDPS unit assembly must not be disassembled for inspection. They must be replaced if necessary.

(However, replacement of parts by technical communication distribution should follow the guidelines.)

※ Partial Parts (2EA)

: Column & Housing assembly, MDPS Power pack

Components and components location

Components

1. Steering column
2. Universal joint
3. Steering gear box
4. Dust cap
5. MDPS Power pack assembly (Motor + ECU)
6. Tie rod end
7. Motor
8. ECU

Schematic diagrams

Schematic Diagrams

Terminal function

Type
Pin No
Description
Battery
1
Battery +
2
Battery -
Vehicle speed
1
Ignition signal
2
-
3
-
4
-
5
-
6
-
7
High_CAN
8
Low_CAN

Repair procedures

A/S Repair produres

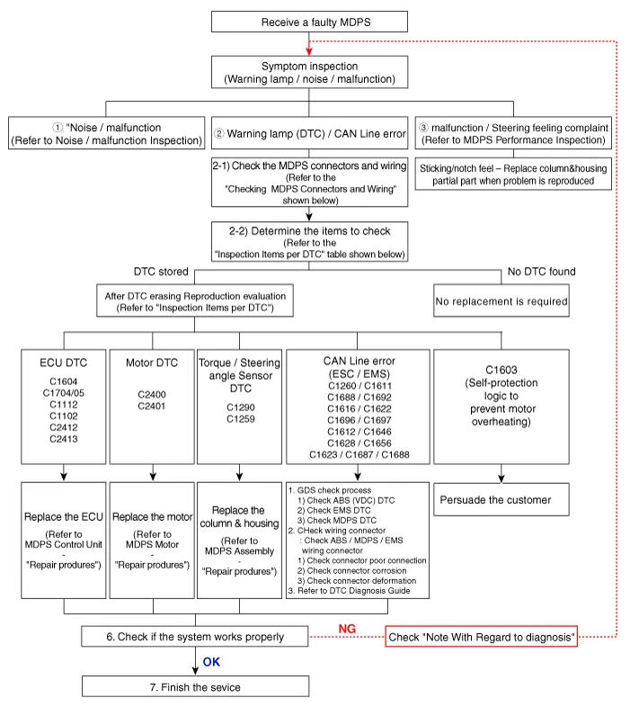
MDPS System A/S Workflow

① Noise / malfunction Inspection

② Warning lamp (DTC) / CAN Line error

2 - 1 Checking Connectors and Wiring

1.

Checking Connectors and Wiring.

Check for damage, push-back, or improper connection in each connector and wiring.

(1)

Check the wiring on the vehicle side.

Check for open / short - circuit due to faulty connection, damage, or foreign substance.

(2)

Check the wiring on the ECU side (motor 3 - phase power).

Check for open / short - circuit due to faulty connection, damage, or foreign substance.

(3)

Check the motor connector.

Terminal Expansion and damage

  

The MDPS motor must be replaced if connector or terminals are damaged.

(4)

Check the motor wiring.

  

The MDPS motor must be replaced if connector or terminals are damaged.

(5)

Remove the grommet (A) and then check the wiring on the Torque Angle Sensor (TAS) side (B) and ECU side (C).

Check for damage, push-back, or improper connection in each connector and wiring.

  

The MDPS motor must be replaced if connector or terminals are damaged.

Check the Torque Angle Sensor (TAS) wiring in case of C1259/C1290 DTC.

2 - 2 Inspection Items per DTC

DTC
Problem
First analysis method
How to repair
C1290
Torque sensor signal error
First erase DTC, check connector connection.
In case of reoccurrence, replace column & housing.

C1112
Torque sensor voltage error
Check connector between torque sensor and ECU.
In case of reoccurrence, replace ECU.
C1705
ECU hardware error
First erase DTC and then check, check ECU connector.
C1604
ECU over/discharge error
C2413
ECU hardware error
C2400
Motor signal error
IIn case of reoccurrence, replace motor.
C2401
Motor circuit error
C2412
Motor voltage supply error
First erase DTC and check, Check ECU/motor connector.
First replace ECU. In case of reoccurrence, replace motor.
C1259
Angle sensor signal error
After Resetting zero point & erasing DTC, check connector connection condition.
In case of reoccurrence, replace column & Housing.
C1261
Zero-setting error
After Resetting zero point, recheck.
Reset the zero-setting.
C1102
Battery voltage problem
Check battery voltage condition.
Recharge battery voltage.
C1696,C1697
SPAS signal error
Check SPAS.
Erase DTC (MDPS is not to be replaced).
C1612,C1646
TCU signal error
Check TCU.
C1628,C1656
Instrument cluster signal error
Check instrument cluster.
C1692,C1693
VSM signal error
Check VSM.
C1260
Angle sensor signal error
After resetting the angle, recheck. If C1259 does not occur, check CAN line.
Reset Angle sensor. Erase DTC.
C1611
CAN time out EMS
1. Check G-SCAN condition.
2. Check connector connection.
3. Check ECU CAN line.
4. Check MDPS ground line.
Check the EMS CAN Line.
C1616
CAN BUS OFF
Check the chassis CAN Line.
C1622
Vehicle speed signal error
Check the EMS (Engine ECU).
C1623,C1687,C1688
Can time out Steering angle sensor
1. Check MDPS Power Connector & FUSE
2. Check MDPS Ground line
3. Check MDPS ECU / VSM CAN line
4. Communication status with GDS/KDS
In case of reoccurrence, replace ECU
(Heavy steering and no communication)

③ MDPS Performance Inspection

1.

Inspect steering angle and DTCs relevant to the steering system.

2.

Inspection for heavy steering effort

(1)

Inspect tire pressure and width.

(2)

Check DTCs relevant to the CAN communication error.

(3)

Check the wheel alignment.

④ MDPS common problems

Case 1
Case 2
Case 3

Multifunction switch noise
Clock spring noise
DAB / Wire noise
Replace multifunction switch
Replace clock spring
Rearrange and replace DAB

Case 4
Case 5
Case 6

Multifunction switch noise
MB nut mount defect
M10 nut mount defect
Replace multifunction switch
Retighten nut
Retighten nut

Case 7
Case 8

Cowl top bolt mount defect
Cowl bar nut mount defect
Retighten cowl top bolt
Replace clock spring

  

Cautions to be taken when handling the MDPS (Motor Driven Power Steering)

Failure occurs due to internal damage because of the drop of and shock and excessive external force on the new partial component.

→ Be cautious of shock on the partial component and replace the damaged part (due to drop, etc.) with a new one.

When fastening the steering, excessive impact may result in twisting the center point of the torque sensor.

When removing/installing the connector the wiring may be damaged (deformed) by excessive external force.

Be cautious when storing and replacing the partial components under the abnormal temperature and humidity conditions.

Description and operation Discription The heated steering wheel system improves the themal comfort of the driver by heated the steering wheel when manually selected.

Repair procedures Inspection 1. MDPS power pack assembly failure can be quickly diagnosed using the vehicle diagnostic system (KDS).

Other information:

Kia Optima DL3 2019-2026 Service and Repair Manual: Trunk Room Lamp

Repair procedures Removal 1. Disconnect the negative battery terminal. 2. Remove the trunk room lamp (A) by pressing the hook. 3. Disconnect the trunk room lamp connector (A).

Kia Optima DL3 2019-2026 Service and Repair Manual: Photo Sensor

Description and operation Description The photo sensor is located at the center of the defrost nozzles. The photo sensor contains a photovoltaic (sensitive to sunlight) diode. The solar radiation received by its light receiving portion, generates an electromotive force in proportion to the amount of radiation received which is

Categories

 
Copyright © 2026 www.kioptima.com - 0.0216